SOLUTION: I need help in writing the expression as one logarithm: 2 log (Y^10/x) - 6 log y + 1/2 log (x^4*y^2) Thank you!

Algebra ->  Exponential-and-logarithmic-functions -> SOLUTION: I need help in writing the expression as one logarithm: 2 log (Y^10/x) - 6 log y + 1/2 log (x^4*y^2) Thank you!      Log On


   



Question 878685: I need help in writing the expression as one logarithm:
2 log (Y^10/x) - 6 log y + 1/2 log (x^4*y^2)
Thank you!

Answer by lwsshak3(11628) About Me  (Show Source):
You can put this solution on YOUR website!
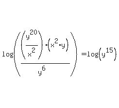
2 log (Y^10/x) - 6 log y + 1/2 log (x^4*y^2)
2log%28%28y%5E10%2Fx%29%29-6log%28y%29%2B%281%2F2%29log%28%28x%5E4%2Ay%5E2%29%29
log%28%28%28y%5E20%2Fx%5E2%29%2A%28x%5E2%2Ay%29%2F%28y%5E6%29%29%29=log%28%28y%5E15%29%29