SOLUTION: how do you solve log4(x+3)=-2
Algebra
->
Exponential-and-logarithmic-functions
-> SOLUTION: how do you solve log4(x+3)=-2
Log On
Algebra: Exponent and logarithm as functions of power
Section
Solvers
Solvers
Lessons
Lessons
Answers archive
Answers
Click here to see ALL problems on Exponential-and-logarithmic-functions
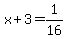
Question 869834
:
how do you solve log4(x+3)=-2
Answer by
Fombitz(32388)
(
Show Source
):
You can
put this solution on YOUR website!