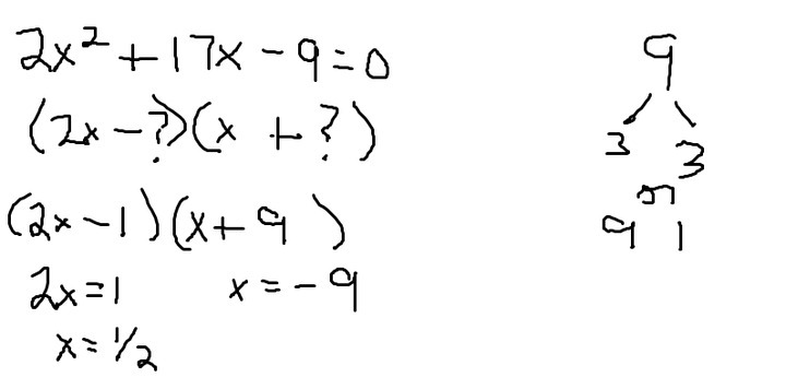
SOLUTION: 2 2x +17x-9=0 it's 2x squared
Algebra
->
Exponential-and-logarithmic-functions
-> SOLUTION: 2 2x +17x-9=0 it's 2x squared
Log On
Algebra: Exponent and logarithm as functions of power
Section
Solvers
Solvers
Lessons
Lessons
Answers archive
Answers
Click here to see ALL problems on Exponential-and-logarithmic-functions
Question 866259
:
2
2x +17x-9=0 it's 2x squared
Answer by
fcabanski(1391)
(
Show Source
):
You can
put this solution on YOUR website!