SOLUTION: Solve 9^x^2=27^x+3 Solve log(2x+1)=1-log(x-1)

Algebra ->  Exponential-and-logarithmic-functions -> SOLUTION: Solve 9^x^2=27^x+3 Solve log(2x+1)=1-log(x-1)      Log On


   



Question 863620: Solve 9^x^2=27^x+3
Solve log(2x+1)=1-log(x-1)

Answer by Fombitz(32388) About Me  (Show Source):
You can put this solution on YOUR website!
9%5E%28x%5E2%29=27%5E%28x%2B3%29
%283%5E2%29%5E%28x%5E2%29=%283%5E3%29%5E%28x%2B3%29
%283%29%5E%282x%5E2%29=%283%29%5E%283%28x%2B3%29%29
2x%5E2=3%28x%2B3%29
2x%5E2=3x%2B9
%28x-3%29%282x%2B3%29=0
Two solutions:
x-3=0
x=3
and
2x%2B3=0
2x=-3
x=-3%2F2
.
.
.
log%282x%2B1%29=1-log%28x-1%29
log%282x%2B1%29%2Blog%28x-1%29=1
log%28%282x%2B1%29%28x-1%29%29=1
%282x%2B1%29%28x-1%29=10
2x%5E2-2x%2Bx-1=10
2x%5E2-x-11=0
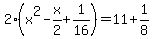
2%28x%5E2-x%2F2%29=11
2%28x%5E2-x%2F2%2B1%2F16%29=11%2B1%2F8
2%28x-1%2F4%29%5E2=89%2F8
%28x-1%2F4%29%5E2=89%2F16
x-1%2F4=0+%2B-+sqrt%2889%29%2F4
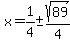
x=1%2F4+%2B-+sqrt%2889%29%2F4
Since (2x+1) is the argument of a log function, 2x%2B1%3E0 or x%3E-1%2F2, so we will ignore the negative solution.
x=1%2F4%2Bsqrt%2889%29%2F4
x=%281%2Bsqrt%2889%29%29%2F4