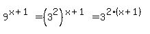
SOLUTION: (9^x+1) + 1 = 10(3^x)
Algebra
->
Exponential-and-logarithmic-functions
-> SOLUTION: (9^x+1) + 1 = 10(3^x)
Log On
Algebra: Exponent and logarithm as functions of power
Section
Solvers
Solvers
Lessons
Lessons
Answers archive
Answers
Click here to see ALL problems on Exponential-and-logarithmic-functions
Question 838967
:
(9^x+1) + 1 = 10(3^x)
Answer by
Fombitz(32388)
(
Show Source
):
You can
put this solution on YOUR website!
Let
,
Two solutions:
and