SOLUTION: If log a=4 and log b =2 what is the numberical value of log radical (a/b^3)
Algebra
->
Exponential-and-logarithmic-functions
-> SOLUTION: If log a=4 and log b =2 what is the numberical value of log radical (a/b^3)
Log On
Algebra: Exponent and logarithm as functions of power
Section
Solvers
Solvers
Lessons
Lessons
Answers archive
Answers
Click here to see ALL problems on Exponential-and-logarithmic-functions
Question 835257
:
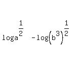
If log a=4 and log b =2 what is the numberical value of
log radical (a/b^3)
Answer by
LinnW(1048)
(
Show Source
):
You can
put this solution on YOUR website!
now substitute 4 for log(a) and 2 for log(b)