SOLUTION: I am having a real difficulty in figuring out how to solve these exponential equations. Your help is greatly appreciated. Solve each exponential equation. Give answers to four dec

Algebra ->  Exponential-and-logarithmic-functions -> SOLUTION: I am having a real difficulty in figuring out how to solve these exponential equations. Your help is greatly appreciated. Solve each exponential equation. Give answers to four dec      Log On


   



Question 82632: I am having a real difficulty in figuring out how to solve these exponential equations. Your help is greatly appreciated.
Solve each exponential equation. Give answers to four decimal places when necessary:
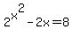
2^x^2-2x =8 and 3^x^2+4x = 1/81

Answer by josmiceli(19441) About Me  (Show Source):
You can put this solution on YOUR website!
2%5Ex%5E2+-+2x+=+8 and
3%5Ex%5E2+%2B+4x+=+1%2F81
For the 1st one,
subtract 8 from both sides
2x%5E2+-+2x+-8+=+0
divide both sides by 2
x%5E2+-+x+-+4+=+0
The easiest way is to complete the square
Take half the coefficient of x, square it, then add that
to both sides
To set it up, I'll add 4 to both sides
x%5E2+-+x+=+4
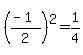
%28%28-1%29+%2F+2%29%5E2+=+1%2F4 add this to both sides
x%5E2+-+x+%2B+1%2F4+=+4+%2B+1%2F4
Notice the left side is a perfect square
%28x+-+1%2F2%29%5E2+=+17%2F4
Take the sqrt of both sides
x+-+1%2F2+=+%2817%29%5E%281%2F2%29+%2F+2
x+=+%28%2817%29%5E%281%2F2%29%2B+1%29+%2F+2
You can check this by plugging it back into the equation for x
------------------------------
3x%5E2+%2B+4x+=+1%2F81
divide both sides by 3
x%5E2+%2B+%284%2F3%29x+=+1%2F3%2A81
Complete the square again
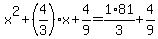
x%5E2+%2B+%284%2F3%29x+%2B+4%2F9+=+1%2F3%2A81+%2B+4%2F9
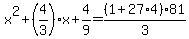
x%5E2+%2B+%284%2F3%29x+%2B+4%2F9+=+%281+%2B+27%2A4%29+%2F+3%2A81
x+%2B+%282%2F3%29%29%5E2+=+109+%2F+243
x+%2B+%282%2F3%29+=+%28109%2F243%29%5E%281%2F2%29
x+=+%28109%2F243%29%5E%281%2F2%29+-+%282%2F3%29
I could have made a mistake, but that's the method