SOLUTION: write as the positive logarithm of a single logarithm log 5 (x^2-1) - log 5 (X+1)
Algebra
->
Exponential-and-logarithmic-functions
-> SOLUTION: write as the positive logarithm of a single logarithm log 5 (x^2-1) - log 5 (X+1)
Log On
Algebra: Exponent and logarithm as functions of power
Section
Solvers
Solvers
Lessons
Lessons
Answers archive
Answers
Click here to see ALL problems on Exponential-and-logarithmic-functions
Question 820115
:
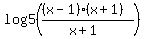
write as the positive logarithm of a single logarithm
log 5 (x^2-1) - log 5 (X+1)
Answer by
LinnW(1048)
(
Show Source
):
You can
put this solution on YOUR website!
=
=
=