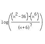
Question 806938: how do I write the expression log10(x2 − 36) − 7[log10(x + 6) + 6 log10(x)] as a single logarithm with a coefficient of 1. Answer by lwsshak3(11628) (Show Source):
You can put this solution on YOUR website! write the expression log10(x2 − 36) − 7[log10(x + 6) + 6 log10(x)] as a single logarithm with a coefficient of 1.
***