SOLUTION: subtract and simplify 4/(x+1) - (2-x)/x
Algebra
->
Exponential-and-logarithmic-functions
-> SOLUTION: subtract and simplify 4/(x+1) - (2-x)/x
Log On
Algebra: Exponent and logarithm as functions of power
Section
Solvers
Solvers
Lessons
Lessons
Answers archive
Answers
Click here to see ALL problems on Exponential-and-logarithmic-functions
Question 750949
:
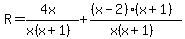
subtract and simplify
4/(x+1) - (2-x)/x
Answer by
tommyt3rd(5050)
(
Show Source
):
You can
put this solution on YOUR website!
subtract and simplify
:)