SOLUTION: one thousand dollars is invested at 12% interest compounded annually. determine how much the investment is after 2 years

Algebra ->  Exponential-and-logarithmic-functions -> SOLUTION: one thousand dollars is invested at 12% interest compounded annually. determine how much the investment is after 2 years      Log On


   



Question 73441This question is from textbook algebra and trigonometry structure and method
: one thousand dollars is invested at 12% interest compounded annually. determine how much the investment is after 2 years This question is from textbook algebra and trigonometry structure and method

Answer by bucky(2189) About Me  (Show Source):
You can put this solution on YOUR website!
The equation for compound interest is:
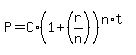
.
P+=+C%2A%281+%2B+%28r%2Fn%29%29%5E%28n%2At%29
.
where the variables are defined as:
.
P is the future value
C is the initial value
r is the annual interest expressed as a decimal (6% = 0.06)
n is the number of times per year the interest is compounded
t is the number of years invested.
.
For this problem:
.
P is unknown
C is 1000
r is 0.12
n is 1 (annually is once per year)
t is 2 years
.
Substitute these numbers into the equation
.
P+=+1000%2A%281+%2B+%280.12%2F1%29%29%5E%281%2A2%29
.
Simplify:
.
P+=+1000%2A%281.12%29%5E2=+1000%2A1.2544+=+1254.40
.
The answer to this problem is that at 12% compounded annually for 2 years $1,000 will grow
to be $1254.40.
.
Hope this helps you to understand compound interest and how your money can work for you.