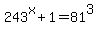
Question 720427: how do i solve 243^x+1=81^3
Answer by jsmallt9(3758) (Show Source):
You can put this solution on YOUR website! First of all, please put exponents in parentheses, especially multiple-term ones. What you posted meant:

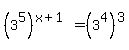
I suspect that you intended 243^(x+1)=81^3:

If my suspicion is correct then a solution follows. If you really meant what you posted then re-post it as 243^(x)+1=81^3 which would make it unambiguously:


Equations with variables in an exponent are often solved using logarithms. And this equation can be solved with logarithms, too. But if it possible to write the equation so that it says that two powers of the same number are equal, then there is a much faster, easier way. Not only is it faster and easier, it also often leads to an exact solution which logarithms might not provide.
So it is definitely worth the effort to see if the equation can be rewritten this way. With our equation we have to ask ourselves: "Is 81 a power of 243? Or is 243 a power of 81 or are they both powers of some third number?" If the answer to any of these questions is "yes", then we can use the fast solution.
With a little effort we should find that and . So they both powers of 3. Replacing 243 and 81 with these powers of 3 we get:

To simplify this we use the rule for powers of a power, multiply the exponents:

The equation now says that two powers of 3 are equal. The only way this can be true is if the exponents themselves are equal, too. So:
5x + 5 = 12
This will be easy to solve. Subtract 5:
5x = 7
Divide by 5:
x = 7/5 or 1.4
P.S. Not only would using logarithms be longer and harder, it would probably have required a calculator. And since calculators use (very close) decimal approximations for most logarithms, we might end up with something like 1.399999998 or 1.40000001 instead of the exactly correct 1.4.
|
|
|