Question 714732: How do you solve for x in : 4^(x-2)= 9^(x+1)? the answer should be in log form
Answer by jsmallt9(3758) (Show Source):
You can put this solution on YOUR website! 
Sometimes equations like this can be solved without logarithms. If it is possible to rewrite the equation so that each side is a power of the same number then there is a much faster, easier way to solve it than with logarithms. But since 4 is not a well-known power of 9 and 9 is not a well-known power of 4 and both 4 and 9 and not well-known powers of some third number, we must resort to logarithms to solve this.
Logarithms of any base may be used. But there are advantages to choosing certain bases:- Matching the logarithm's base to the base of an exponent will result in a simpler expression for the solution.
- Matching the logarithm's base to a button on our calculator, "log" or "ln", will result in an expression that can easily converted into a decimal approximation.
Since the problem asks for the answer in log form, not a decimal approximation, we will choose the logarithm's base to match the base of one of the exponents, 4 or 9. Let's use base 4 logs:

Next we use a property of logarithm's, , which allows us to move the exponent of the argument of a log out in front of the log as a coefficient. (It is this property that is the very reason we use logs. The property lets us move the exponent, where the variable is, out in front where we can "get at it" using regular algebra.) Using this property on both sides we get:

When the base and argument of a log match, like the log on the left side, the log is always equal to 1. (This is why matching the base of the log to the base of the exponent results in simpler expressions.) So the left side simplifies to:

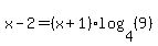
With the x's out of the exponents we can now solve for it. First we simplify. Multiplying out the right side we get:

Next we gather the x terms on one side of the equation and the other terms on the other side of the equation. Subtracting x and from each side we get:

Factoring out x on the right side we get:

And dividing both sides by we get:

This is an exact expression (in log form) for the solution to your equation.
P.S. Since we can use logarithm's of any base to solve these equations and since there are an infinite number of bases for logarithms, there will be an infinite number of exact expressions for the solutions to these equations. These expressions will look different but they will all be correct. For example, if we had used base 9 logs we would have gotten:

If we had used ln (base e) logs:

etc.
All are exact and correct expressions for the solution to your equation. And if you turn them all into decimal approximations you end up with (approximately) the same answers!
|
|
|