SOLUTION: Please tell how to graphically locate the nth roots of a complex number, given the location of one of the nth roots. Thanks!!

Algebra ->  Exponential-and-logarithmic-functions -> SOLUTION: Please tell how to graphically locate the nth roots of a complex number, given the location of one of the nth roots. Thanks!!       Log On


   



Question 632217: Please tell how to graphically locate the nth roots of a complex number, given the location of one of the nth roots. Thanks!!
Answer by KMST(5328) About Me  (Show Source):
You can put this solution on YOUR website!
The n roots of a number will be located in a circle, equally spaced at angles of 2pi%2Fn
For example, if A is one of the 6th roots of a number, the other 5 roots are at the ends of the green spokes, all spaced at pi%2F3 angles
. That is because
if two of the roots are r%28cos%28theta%29%2Bisin%28theta%29%29 and r%28cos%28alpha%29%2Bisin%28alpha%29%29
the nth power of that is

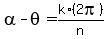
That means that the angle n%2Atheta and n%2Aalpha are co-terminal, meaning that n%2Aalpha=n%2Atheta%2Bk%2A%282pi%29 for some k integer.
n%2Aalpha=n%2Atheta%2Bk%2A%282pi%29 --> n%2Aalpha-n%2Atheta=k%2A%282pi%29 --> n%2A%28alpha-theta%29=k%2A%282pi%29 --> alpha-theta=k%2A%282pi%29%2Fn --> alpha-theta=k%2A%282pi%2Fn%29
so the angles are spaced 2pi%2Fn apart,
like spokes of a wheel with n spokes.