SOLUTION: What rate of interest to the nearest tenth of a percent compounded quarterly is needed for an investment of $1500 to grow to $2700 in 10 years? I am not sure which formula to us

Algebra ->  Exponential-and-logarithmic-functions -> SOLUTION: What rate of interest to the nearest tenth of a percent compounded quarterly is needed for an investment of $1500 to grow to $2700 in 10 years? I am not sure which formula to us      Log On


   



Question 60735This question is from textbook
: What rate of interest to the nearest tenth of a percent compounded quarterly is needed for an investment of $1500 to grow to $2700 in 10 years?
I am not sure which formula to use: A=p(1+r)^t or A=P(1+r/4)^4t. I can not get either formula to work out correctly. Thank you for your help.
This question is from textbook

Answer by josmiceli(19441) About Me  (Show Source):
You can put this solution on YOUR website!
Hopefully, I got it right. I get 5.96% for answer
A=P%281%2Br%2F4%29%5E%284t%29
2700+=+1500%281+%2B+%28r%2F4%29%29%5E40
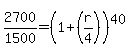
2700%2F1500+=+%281+%2B+%28r%2F4%29%29%5E40
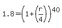
1.8+=+%281+%2B+%28r%2F4%29%29%5E40
take the log base 10 of both sides
log%2810%2C1.8%29+=+40%2Alog%2810%2C%281+%2B+%28r%2F4%29%29%29
.2553+=++40%2Alog%2810%2C%281+%2B+%28r%2F4%29%29%29
.2553+%2F+40+=+log%2810%2C+%28%284%2Br%29%2F4%29%29
.2553+%2F+40+=+log%2810%2C%284%2Br%29%29+-+log%2810%2C4%29
.00638+=+log%2810%2C%28r%2B4%29%29+-+.6021
.60848+=+log%2810%2C%28r%2B4%29%29
this says
10%5E.60848+=+r+%2B+4
4.05957+=+r+%2B+4
r+=+.0596
so, I get 5.96% for the rate. Could have made a mistake, though