SOLUTION: e^x x e^3x=4 Can you help me figure this out? My math teacher didn't explain it fully. Thanks for your help!
Algebra
->
Exponential-and-logarithmic-functions
-> SOLUTION: e^x x e^3x=4 Can you help me figure this out? My math teacher didn't explain it fully. Thanks for your help!
Log On
Algebra: Exponent and logarithm as functions of power
Section
Solvers
Solvers
Lessons
Lessons
Answers archive
Answers
Click here to see ALL problems on Exponential-and-logarithmic-functions
Question 604917
:
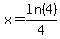
e^x x e^3x=4
Can you help me figure this out? My math teacher didn't explain it fully.
Thanks for your help!
Answer by
jim_thompson5910(35256)
(
Show Source
):
You can
put this solution on YOUR website!
So the exact solution is