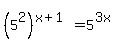
SOLUTION: Solve the following equations algebraically. Approximate the result to 3 decimal places. 25^x+1=5^3x
Algebra
->
Exponential-and-logarithmic-functions
-> SOLUTION: Solve the following equations algebraically. Approximate the result to 3 decimal places. 25^x+1=5^3x
Log On
Algebra: Exponent and logarithm as functions of power
Section
Solvers
Solvers
Lessons
Lessons
Answers archive
Answers
Click here to see ALL problems on Exponential-and-logarithmic-functions
Question 480431
:
Solve the following equations algebraically. Approximate the result to 3 decimal places.
25^x+1=5^3x
Answer by
Tatiana_Stebko(1539)
(
Show Source
):
You can
put this solution on YOUR website!