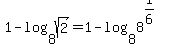
You can put this solution on YOUR website!
Use the general rule:
Now use the rule: (logs with the same base)
Now you can use the reverse of the above rule:
Rule:
Now, can I get in terms of ?
I know
so,
This is the same as:
therefore
rule: answer
Unless I goofed