You can put this solution on YOUR website!
Solving a equation where the variable is in the argument (or base) of a logarithm usually starts with transforming the equation into one of the following forms:
log(expression) = other-expresison
or
log(expression) = log(other-expresison)
Your equation, with its "non-log" term of 1, will be easier to transform into the first form above. For this form we want the "non-log" term on one side and a single logarithm on the other side. So we'll start by subtracting from each side:
Now we want to combine the two logarithms into one. They are not like terms so we cannot subtract them. (Like terms involving logarithms have logarithms of the same base and the same argument Yours have the same base but different arguments.
Even though they cannot be subtracted, there is a property of logarithms, , that will allow us to combine the two logarithms. This property requires:
Logarithms of the same base; and
A "-" between the two logarithms; and
Coefficients of 1 one the logarithms.
Your logarithms meet all three requirements so we can go ahead and use the property to combine the logarithms:
We now have the first form. With this form the next step is to rewrite the equation in exponential form. In general is equivalent to . Using this pattern on your equation we get:
which simplifies to:
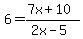
We now have an equation we can solve. Multiplying both sides by (2x-5) (to eliminate the fraction) we get:
which simplifies to:
12x - 30 = 7x + 10
Subtracting 7x from each side we get:
5x - 30 = 10
Adding 30 to each side we get:
5x = 40
Dividing both sides by 5 we get:
x = 8
When solving logarithmic equations like yours, you must check you answer(s)! You must ensure that all arguments (and bases) of all logarithms remain positive when the variable is equal to a "solution". If an argument (or base) works out to be zero or negative you must reject that "solution". A zero or negative argument (or base) can happen even if no mistakes have been made! This is why it is required to check.
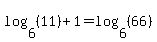
Always use the original equation to check:
Checking x = 8:
which simplifies as follows:
We can see that both arguments (and bases) are positive. So there is no reason to reject this solution. We have completed the required part of the check. The remainder of the check will tell us if we made a mistake. You are welcome to finish the check.