Question 399795: log base(3)3-log base(3)(x-1)=log base(3)2?
Answer by jsmallt9(3759) (Show Source):
You can put this solution on YOUR website! 
Solving equations where the variable is in the argument (or base) of a logarithm usually starts with transforming the equation into one of the following forms:
log(expression) = other-expression
or
log(expression) = log(other-expression)
Since your equation has nothing but logarithms, it looks like the second form will be easier to achieve. In fact, if we are able to combine the two logarithms into one on the left side, we will have the second form.
Those two logarithms are not like terms. (Like terms with logarithms hvae logarithms with the same base and same argument.) So we cannot just subtract them. But there is a property of logarithms, , which will allow us to combine the two logarithms into one. This property requires:- Two logarithms of the same base.
- A minus, "-", between them.
- Coefficients of 1 in front of both logarithms.
The logarithms on the left side fit all these requirements. Using this property to combine them we get:

We now have the second form. With this form the next step is based on some simple logic. If these two logarithms are equal like the equation says they are, then the arguments must be equal, too. So:

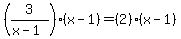
This is an equation we can now solve. We can eliminate the fraction by multiplying both sides by (x-1):

which simplifies to:
3 = 2x - 2
Adding 2 to each side we get:
5 = 2x
Dividing both sides by 2 we get:
5/2 = x
Now we must our answers. With logarithmic equations you must ensure that all solutions make the arguments (and bases) of all logarithms positive. Any "solution" that makes an argument (or base) negative or zero must be rejected. And these rejected solutions can occur even if no mistakes have been made! This is why it is required, not just a good idea, to check.
Always use the original equation to check:

Checking x = 5/2:



We can see that the arguments (and bases) are positive when x = 5/2. So there is no reason to reject this solution. (If we did have to reject this solution then, since this was the only possible solution, there would be no solution to the equation!)
So the solution to your equation is x = 5/2.
|
|
|