SOLUTION: what would i do if i had (1/2) with a -4 as a exponent and i have no clue how to do this.. please help
Algebra
->
Exponential-and-logarithmic-functions
-> SOLUTION: what would i do if i had (1/2) with a -4 as a exponent and i have no clue how to do this.. please help
Log On
Algebra: Exponent and logarithm as functions of power
Section
Solvers
Solvers
Lessons
Lessons
Answers archive
Answers
Click here to see ALL problems on Exponential-and-logarithmic-functions
Question 391556
:
what would i do if i had (1/2) with a -4 as a exponent and i have no clue how to do this.. please help
Answer by
Earlsdon(6294)
(
Show Source
):
You can
put this solution on YOUR website!
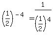
Recall:
so
=