SOLUTION: {{{ 4^(log3)^3^(log4)^(x+1) }}} or {{{ 4^(log3)^3^((log4)(x+1)) }}} the question was not printed very clearly so i couldn't tell which form the question was in. any assista

Algebra ->  Exponential-and-logarithmic-functions -> SOLUTION: {{{ 4^(log3)^3^(log4)^(x+1) }}} or {{{ 4^(log3)^3^((log4)(x+1)) }}} the question was not printed very clearly so i couldn't tell which form the question was in. any assista      Log On


   



Question 381634: +4%5E%28log3%29%5E3%5E%28log4%29%5E%28x%2B1%29+
or
+4%5E%28log3%29%5E3%5E%28%28log4%29%28x%2B1%29%29+
the question was not printed very clearly so i couldn't tell which form the question was in. any assistance would be greatly appreciated.

Answer by jsmallt9(3758) About Me  (Show Source):
You can put this solution on YOUR website!
My guess is that the expression is:
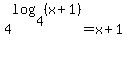
4%5E%28%28log%283%2C+%283%5E%28log%284%2C+%28x%2B1%29%29%29%29%29%29%29
(In case you can't read 4's exponent above, it is: log%283%2C+%283%5E%28log%284%2C+%28x%2B1%29%29%29%29%29
If this is right, then the simple way to simplify this expression requires that you understand what logarithms represent.

The idea behind logarithms is that any positive number raised to the correct power will result in any other positive number. In general, log%28a%2C+%28b%29%29 represents the "correct exponent" for a that results in b.

Some of these "correct exponents" are easy to find. For example:
log%28q%2C+%28q%29%29+=+1 since 1 is the power for q that results in q.
log%28z%2C+%281%29%29+=+0 since 0 is the power for z that results in 1.
log%282%2C+%2816%29%29+=+4 since 4 is the power for 2 that results in 16.
log%2825%2C+%285%29%29+=+1%2F2 since 1/2 (i.e. square root) is the power for 25 that results in 5.
log%28v%2C+%28v%5Ew%29%29+=+w since w is the power for v that results in v%5Ex.
(Think about this last one because we will be using it on your expression shortly.)

When you can't figure out the "correct exponent" we can find a decimal approximation for the exponent using our calculators and the base conversion formula (if the logarithm is not base 10 or base e).

Now back to your expression...
The exponent for 4 is:
log%283%2C+%283%5E%28log%284%2C+%28x%2B1%29%29%29%29%29
This fits the pattern for log%28v%2C+%28v%5Ew%29%29+=+w
So log%283%2C+%283%5E%28log%284%2C+%28x%2B1%29%29%29%29%29+=+log%284%2C+%28x%2B1%29%29 because log%284%2C+%28x%2B1%29%29 is the exponent for 3 that results in 3%5Elog%284%2C+%28x%2B1%29%29 and we find it as an exponent of 3!! So the simplified exponent for 4 is: log%284%2C+%28x%2B1%29%29
Now the full expression is:
4%5Elog%284%2C+%28x%2B1%29%29
And once again we have the pattern for log%28v%2C+%28v%5Ew%29%29+=+w. So
4%5Elog%284%2C+%28x%2B1%29%29+=+x%2B1 since log%284%2C+%28x%2B1%29%29 is the exponent for 4 that results in x+1 and we find it as an exponent of 4. Replacing 4%5Elog%284%2C+%28x%2B1%29%29 with x+1 we get:
x+1