SOLUTION: Use the one-to-one property to solve the equation for x e^3x+2=e^3 3x+2=3 The answer is x=1/3 I thought you suppose to pull down the 3x+2 I am not sure how they came up

Algebra ->  Exponential-and-logarithmic-functions -> SOLUTION: Use the one-to-one property to solve the equation for x e^3x+2=e^3 3x+2=3 The answer is x=1/3 I thought you suppose to pull down the 3x+2 I am not sure how they came up       Log On


   



Question 371957: Use the one-to-one property to solve the equation for x
e^3x+2=e^3
3x+2=3
The answer is x=1/3
I thought you suppose to pull down the 3x+2
I am not sure how they came up with 1/3
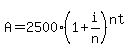
2. complete the table to determine the balance A for P dollars invested at rate r for t years and compounded n times per year.
n 1 2 4 12 365 Continuous
A
P=$2500, r=3.5%, t=10 years
I am using my TI-30 calculator and I am not sure how to do it

Answer by Fombitz(32388) About Me  (Show Source):
You can put this solution on YOUR website!
3x%2B2=3
3x=1
x=1%2F3
.
.
.
A=2500%281%2Bi%2Fn%29%5E%28nt%29
A=2500%281%2B0.035%2Fn%29%5E%2810n%29
For continuous,
A=Pe%5E%28rt%29
A=2500e%5E%280.035%2810%29%29