SOLUTION: Can you help me solve this please? 1/2=log(4)x
Algebra
->
Exponential-and-logarithmic-functions
-> SOLUTION: Can you help me solve this please? 1/2=log(4)x
Log On
Algebra: Exponent and logarithm as functions of power
Section
Solvers
Solvers
Lessons
Lessons
Answers archive
Answers
Click here to see ALL problems on Exponential-and-logarithmic-functions
Question 350579
:
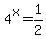
Can you help me solve this please? 1/2=log(4)x
Answer by
Fombitz(32388)
(
Show Source
):
You can
put this solution on YOUR website!
In other words,