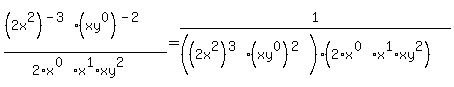
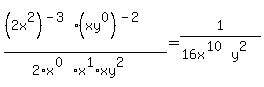
SOLUTION: (2x^2)^-3(xy^0)^-2 ----------- ------- 2xx^0x^1xxy^2 Using rules of exponents

Algebra ->  Exponential-and-logarithmic-functions -> SOLUTION: (2x^2)^-3(xy^0)^-2 ----------- ------- 2xx^0x^1xxy^2 Using rules of exponents      Log On


   



Question 338459: (2x^2)^-3(xy^0)^-2
-------------------
2xx^0x^1xxy^2
Using rules of exponents

Answer by Fombitz(32388) About Me  (Show Source):