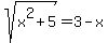
SOLUTION: solve square root of x^2+5 =3-x
Algebra
->
Exponential-and-logarithmic-functions
-> SOLUTION: solve square root of x^2+5 =3-x
Log On
Algebra: Exponent and logarithm as functions of power
Section
Solvers
Solvers
Lessons
Lessons
Answers archive
Answers
Click here to see ALL problems on Exponential-and-logarithmic-functions
Question 327315
:
solve square root of x^2+5 =3-x
Answer by
Fombitz(32388)
(
Show Source
):
You can
put this solution on YOUR website!