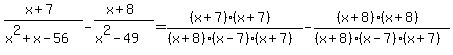
SOLUTION: please show work: x+7/x^2+x-56 - x+8/x^2-49
Algebra
->
Exponential-and-logarithmic-functions
-> SOLUTION: please show work: x+7/x^2+x-56 - x+8/x^2-49
Log On
Algebra: Exponent and logarithm as functions of power
Section
Solvers
Solvers
Lessons
Lessons
Answers archive
Answers
Click here to see ALL problems on Exponential-and-logarithmic-functions
Question 317468
:
please show work:
x+7/x^2+x-56 - x+8/x^2-49
Answer by
Fombitz(32388)
(
Show Source
):
You can
put this solution on YOUR website!
Use a common denominator,