SOLUTION: Solve 2log4-log3+2logx-4=0. a. 12.3308 b. 43.3013 c. 86.6025 d. 1875

Algebra ->  Exponential-and-logarithmic-functions -> SOLUTION: Solve 2log4-log3+2logx-4=0. a. 12.3308 b. 43.3013 c. 86.6025 d. 1875      Log On


   



Question 309109: Solve 2log4-log3+2logx-4=0.
a. 12.3308
b. 43.3013
c. 86.6025
d. 1875

Answer by Fombitz(32388) About Me  (Show Source):
You can put this solution on YOUR website!
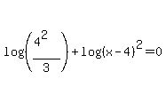
2%2Alog%28%284%29%29-log%28%283%29%29%2B2%2Alog%28%28x-4%29%29=0
log%28%28%284%5E2%29%2F3%29%29%2Blog%28%28x-4%29%5E2%29=0
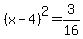
log%28%28x-4%29%5E2%29=-log%28%2816%2F3%29%29
%28x-4%29%5E2=3%2F16
x-4=sqrt%283%29%2F4
x=sqrt%283%29%2F4%2B4 or approximately
highlight%28x=4.433%29
Unfortunately, it's not a choice.
But it does solve the equation.
2%2A0.6021-0.4771%2B2%2A%28-0.3635%29=1.2042-0.4771-0.7270=0