SOLUTION: Find the derivative of the function. y= ln(4x^3-x^2) Help is appreciated, we only went over this in one class a little confused. Answer is 12x-2/4x^2-x

Algebra ->  Exponential-and-logarithmic-functions -> SOLUTION: Find the derivative of the function. y= ln(4x^3-x^2) Help is appreciated, we only went over this in one class a little confused. Answer is 12x-2/4x^2-x      Log On


   



Question 289628: Find the derivative of the function.
y= ln(4x^3-x^2)
Help is appreciated, we only went over this in one class a little confused.
Answer is 12x-2/4x^2-x

Answer by Fombitz(32388) About Me  (Show Source):
You can put this solution on YOUR website!
Use a substitution and the chain rule.
Let
u=4x%5E3-x%5E2
y=ln%28u%29
From the chain rule,
+dy%2Fdx=dy%2Fdu%2Adu%2Fdx
+dy%2Fdu=1%2Fu=1%2F%284x%5E3-x%5E2%29=1%2F%28x%5E2%284x-1%29%29
+du%2Fdx=12x%5E2-2x=2x%286x-1%29
So then
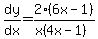
+dy%2Fdx=1%2F%28x%5E2%284x-1%29%29%2A%282x%286x-1%29%29+
+dy%2Fdx=2%286x-1%29%2F%28x%284x-1%29%29+