SOLUTION: i must write in exponential form and simplify cuberoot x^5y^5. please help if possible. thanks
Algebra
->
Exponential-and-logarithmic-functions
-> SOLUTION: i must write in exponential form and simplify cuberoot x^5y^5. please help if possible. thanks
Log On
Algebra: Exponent and logarithm as functions of power
Section
Solvers
Solvers
Lessons
Lessons
Answers archive
Answers
Click here to see ALL problems on Exponential-and-logarithmic-functions
Question 286368
:
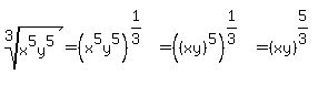
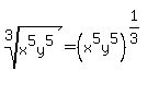
i must write in exponential form and simplify cuberoot x^5y^5. please help if possible. thanks
Answer by
jim_thompson5910(35256)
(
Show Source
):
You can
put this solution on YOUR website!
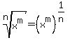
Recall that
. So
You could go one step further and multiply the exponents to get
On the other hand, you can pull all of the exponents out to get
Either way, they're all equivalent. It'll just depend on what you're book or teacher is looking for.