SOLUTION: solve for the variable 5(x-7) to the fourth power= 1000
Algebra
->
Exponential-and-logarithmic-functions
-> SOLUTION: solve for the variable 5(x-7) to the fourth power= 1000
Log On
Algebra: Exponent and logarithm as functions of power
Section
Solvers
Solvers
Lessons
Lessons
Answers archive
Answers
Click here to see ALL problems on Exponential-and-logarithmic-functions
Question 27995
:
solve for the variable 5(x-7) to the fourth power= 1000
Answer by
bmauger(101)
(
Show Source
):
You can
put this solution on YOUR website!
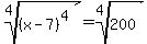
Divide both sides by 5.
Now take the 4th root of both sides to get:
or approximately 10.76060