SOLUTION: what is the inverse of y= log4(x+3)
Algebra
->
Exponential-and-logarithmic-functions
-> SOLUTION: what is the inverse of y= log4(x+3)
Log On
Algebra: Exponent and logarithm as functions of power
Section
Solvers
Solvers
Lessons
Lessons
Answers archive
Answers
Click here to see ALL problems on Exponential-and-logarithmic-functions
Question 253310
:
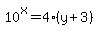
what is the inverse of y= log4(x+3)
Answer by
Fombitz(32388)
(
Show Source
):
You can
put this solution on YOUR website!
Interchange x and y and solve for the new y. That's the inverse.