SOLUTION: Could you please help me with this problem Find the inverse of f(x)= {{{4x^3-8}}} thanks

Algebra ->  Exponential-and-logarithmic-functions -> SOLUTION: Could you please help me with this problem Find the inverse of f(x)= {{{4x^3-8}}} thanks      Log On


   



Question 24632: Could you please help me with this problem
Find the inverse of f(x)= 4x%5E3-8
thanks

Answer by rapaljer(4671) About Me  (Show Source):
You can put this solution on YOUR website!
To find an inverse function, first interchange the variables:
Instead of writing
y+=+4x%5E3+-+8, write
x+=+4y%5E3+-+8+, and solve for y.

To solve for y, add +8 to each side:
x%2B8+=+4y%5E3+

Divide both sides by 4:
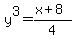
%28x%2B8%29%2F4=+y%5E3
y%5E3+=+%28x%2B8%29%2F4

Take the cube root of each side:
y+=+root%283%2C%28x%2B8%29%2F4%29

R^2 at SCC