SOLUTION: {{{2^(4x)*3^x=100}}} I don't know where to start on this one. I know it should be a log, but don't know how to set it up.

Algebra ->  Exponential-and-logarithmic-functions -> SOLUTION: {{{2^(4x)*3^x=100}}} I don't know where to start on this one. I know it should be a log, but don't know how to set it up.      Log On


   



Question 244839: 2%5E%284x%29%2A3%5Ex=100
I don't know where to start on this one.
I know it should be a log, but don't know how to set it up.

Answer by jim_thompson5910(35256) About Me  (Show Source):
You can put this solution on YOUR website!
2%5E%284x%29%2A3%5Ex=100 Start with the given equation.


log%2810%2C%282%5E%284x%29%2A3%5Ex%29%29=log%2810%2C%28100%29%29 Take the log of both sides.


log%2810%2C%282%5E%284x%29%2A3%5Ex%29%29=2 Evaluate the log base 10 of 100 to get 2.


log%2810%2C%282%5E%284x%29%29%29%2Blog%2810%2C%283%5Ex%29%29=2 Break up the log using the identity log%28b%2C%28A%2AB%29%29=log%28b%2C%28A%29%29%2Blog%28b%2C%28B%29%29


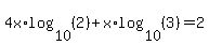
4x%2Alog%2810%2C%282%29%29%2Bx%2Alog%2810%2C%283%29%29=2 Pull down the exponents using the identity log%28b%2C%28x%5Ey%29%29=y%2Alog%28b%2C%28x%29%29


x%284%2Alog%2810%2C%282%29%29%2Blog%2810%2C%283%29%29%29=2 Factor out the GCF 'x'


x=2%2F%284%2Alog%2810%2C%282%29%29%2Blog%2810%2C%283%29%29%29 Divide both sides by 4%2Alog%2810%2C%282%29%29%2Blog%2810%2C%283%29%29


x=2%2F%28log%2810%2C%282%5E4%29%29%2Blog%2810%2C%283%29%29%29 Place the coefficient as the exponent using the identity y%2Alog%28b%2C%28x%29%29=log%28b%2C%28x%5Ey%29%29


x=2%2F%28log%2810%2C%2816%29%29%2Blog%2810%2C%283%29%29%29 Raise 2 to the 4th power to get 16


x=2%2F%28log%2810%2C%2816%2A3%29%29%29 Combine the logs using the identity log%28b%2C%28A%29%29%2Blog%28b%2C%28B%29%29=log%28b%2C%28A%2AB%29%29


x=2%2Flog%2810%2C%2848%29%29 Multiply


So the solution is x=2%2Flog%2810%2C%2848%29%29 which approximates to x=1.18959727