SOLUTION: We are trying to solve the following problem:
{{{2^x=5^(x+1)}}}
I understand that it is necessary to get the base the same, but I don't understand how to get 5 to a base of 2.
Algebra ->
Exponential-and-logarithmic-functions
-> SOLUTION: We are trying to solve the following problem:
{{{2^x=5^(x+1)}}}
I understand that it is necessary to get the base the same, but I don't understand how to get 5 to a base of 2.
Log On
Question 223206: We are trying to solve the following problem:
I understand that it is necessary to get the base the same, but I don't understand how to get 5 to a base of 2.
Thank you, in advance! Answer by Alan3354(69443) (Show Source):
You can put this solution on YOUR website!
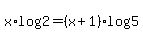
Take the log of both sides
log(2) and log(5) are just constants.
x*log(2) = x*log(5) + log(5)
x*log(2) - x*log(5) = log(5)
x*(log(2) - log(5)) = log(5)
x = log(5)/log(0.4)
x = ~ -1.75647