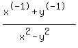
SOLUTION: Simplfy by removing non-positive exponents: x to the -1 plus y to the -1 divided by x squared minus y squared.

Algebra ->  Exponential-and-logarithmic-functions -> SOLUTION: Simplfy by removing non-positive exponents: x to the -1 plus y to the -1 divided by x squared minus y squared.      Log On


   



Question 167820: Simplfy by removing non-positive exponents: x to the -1 plus y to the -1 divided by x squared minus y squared.
Found 2 solutions by checkley77, nerdybill:
Answer by checkley77(12844) About Me  (Show Source):
You can put this solution on YOUR website!
(X^-1+Y^-1)/(X^2-Y^2)
(X^-1+Y^-1)/(X+Y)(X-Y)
1/(X+Y)(X+Y)(X-Y)

Answer by nerdybill(7384) About Me  (Show Source):
You can put this solution on YOUR website!
x to the -1 plus y to the -1 divided by x squared minus y squared.
.
+%28x%5E-1+%2B+y%5E-1%29%2F%28x%5E2-y%5E2%29
.
+%281%2Fx+%2B+1%2Fy%29%2F%28x%5E2-y%5E2%29
.
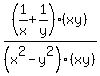
Multiplying numerator and denominator by xy:
+%281%2Fx+%2B+1%2Fy%29%28xy%29%2F%28x%5E2-y%5E2%29%28xy%29
+%281%2Fx+%2B+1%2Fy%29%28xy%29%2F%28x%5E2-y%5E2%29%28xy%29
+%28y+%2B+x%29%2F%28x%5E2-y%5E2%29%28xy%29
Factoring the denominator:
+%28y+%2B+x%29%2F%28x%2By%29%28x-y%29%28xy%29
Canceling like-terms:
+1%2F%28x-y%29%28xy%29
Or,
+1%2F%28x%5E2y-xy%5E2%29