SOLUTION: Please help me answer the following: Simplify: 1) i^23 2) i^24 Thank you.
Algebra
->
Exponential-and-logarithmic-functions
-> SOLUTION: Please help me answer the following: Simplify: 1) i^23 2) i^24 Thank you.
Log On
Algebra: Exponent and logarithm as functions of power
Section
Solvers
Solvers
Lessons
Lessons
Answers archive
Answers
Click here to see ALL problems on Exponential-and-logarithmic-functions
Question 162872
:
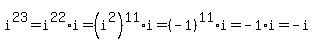
Please help me answer the following:
Simplify:
1) i^23
2) i^24
Thank you.
Answer by
orca(409)
(
Show Source
):
You can
put this solution on YOUR website!
Using the result above, we can find i^24