SOLUTION: If 3a + 1 = 13/3, what is the value of 3a-3?

Algebra ->  Exponential-and-logarithmic-functions -> SOLUTION: If 3a + 1 = 13/3, what is the value of 3a-3?      Log On


   



Question 153851This question is from textbook California Algebra 2
: If 3a + 1 = 13/3, what is the value of 3a-3? This question is from textbook California Algebra 2

Found 2 solutions by jim_thompson5910, stanbon:
Answer by jim_thompson5910(35256) About Me  (Show Source):
You can put this solution on YOUR website!
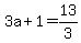
3a+%2B+1+=+13%2F3 Start with the given equation.


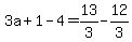
3a+%2B+1+-+4+=+13%2F3-4 Subtract 4 from both sides.


3a+%2B+1+-+4+=+13%2F3-12%2F3 Multiply 4 by 3%2F3 to get 12%2F3


3a+-3+=+1%2F3 Combine like terms.


So the value of 3a-3 is 3a+-3+=+1%2F3

Answer by stanbon(75887) About Me  (Show Source):
You can put this solution on YOUR website!
If 3a + 1 = 13/3, what is the value of 3a-3 ?
---------------------------------
Start with 3a + 1 = 13/3
Then 3a = 10/3
Then 3a - 3 = 10/3 - 3
So, 3a - 3 = 10/3 - 9/3
Finally, 3a - 3 = 1/3
=============================
Cheeers,
Stan H.