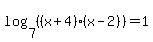
Please help me solve this equation:
, 
Use this rule on the left side:
,
Now use this rule to rewrite the equation:
is equivalent to
,
Simplify, FOIL out the right side:
,
,
Get
on the left by subtracting
7 from both sides:
,
,
Factor the right side:
,
Use the zero-factor principle:
x-3=0 gives x=3
x+5=0 gives x=-5
However we must discard that second answer
because we are given the restriction that
So the only solution is
Edwin