SOLUTION: Please solve with steps 4 to the power of x divided by 4 = 1/8

Algebra ->  Exponential-and-logarithmic-functions -> SOLUTION: Please solve with steps 4 to the power of x divided by 4 = 1/8      Log On


   



Question 133281: Please solve with steps
4 to the power of x divided by 4 = 1/8

Answer by jim_thompson5910(35256) About Me  (Show Source):
You can put this solution on YOUR website!
Does your equation look like this: 4%5Ex%2F4+=+1%2F8 ???


4%5Ex%2F4+=+1%2F8 Start with the given equation


4%5Ex+=+4%2F8 Multiply both sides by 4


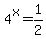
4%5Ex+=+1%2F2 Reduce


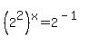
%282%5E2%29%5Ex+=+2%5E%28-1%29 Rewrite 4 as 2%5E2. Rewrite 1%2F2 as 2%5E%28-1%29


2%5E%282x%29+=+2%5E%28-1%29 Simplify



Since the bases are equal, this means that the exponents are equal. So



2x=-1



x=%28-1%29%2F%282%29 Divide both sides by 2 to isolate x



--------------------------------------------------------------
Answer:

So our answer is x=-1%2F2 or x=-0.5