SOLUTION: I need help solving this logarithmic equation log(x-14)-log5=log(x-12)-logx

Algebra ->  Exponential-and-logarithmic-functions -> SOLUTION: I need help solving this logarithmic equation log(x-14)-log5=log(x-12)-logx      Log On


   



Question 129944: I need help solving this logarithmic equation
log(x-14)-log5=log(x-12)-logx

Answer by jim_thompson5910(35256) About Me  (Show Source):
You can put this solution on YOUR website!
Start with the given equation


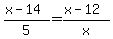
log%2810%2C%28%28x-14%29%2F5%29%29=log%2810%2C%28%28x-12%29%2Fx%29%29 Combine the logs using the identity log%28b%2C%28A%29%29-log%28b%2C%28B%29%29=log%28b%2C%28A%2FB%29%29



%28x-14%29%2F5=%28x-12%29%2Fx Raise both sides as exponents with bases of 10 to eliminate the logs on both sides


cross%285%29x%28%28x-14%29%2Fcross%285%29%29=5cross%28x%29%28%28x-12%29%2Fcross%28x%29%29 Multiply both sides by 5x to eliminate the fractions


x%28x-14%29=5%28x-12%29 Multiply


x%5E2-14x=5x-60 Distribute


x%5E2-14x-5x%2B60=0 Subtract 5x from both sides. Add 60 to both sides.


x%5E2-19x%2B60=0 Combine like terms



%28x-15%29%28x-4%29=0 Factor the left side (note: if you need help with factoring, check out this solver)



Now set each factor equal to zero:
x-15=0 or x-4=0

x=15 or x=4 Now solve for x in each case


So our possible answers are
x=15 or x=4



However, if you plug in x=4 into , you'll get a negative number inside the log. So our only solution is x=15



-----------------------------------


Answer:

So our answer is x=15