SOLUTION: Solve for the unknown Logbase1/4 64=n

Algebra ->  Exponential-and-logarithmic-functions -> SOLUTION: Solve for the unknown Logbase1/4 64=n      Log On


   



Question 1202070: Solve for the unknown
Logbase1/4 64=n

Found 3 solutions by math_tutor2020, josgarithmetic, MathTherapy:
Answer by math_tutor2020(3817) About Me  (Show Source):
You can put this solution on YOUR website!

Answer: n = -3

============================================================================
Work Shown:

0.25 = 1/4

log%28b%2C%28x%29%29+=+%28log%2810%2C%28x%29%29%29%2F%28log%2810%2C%28b%29%29%29 Change of base formula

log%280.25%2C%2864%29%29+=+%28log%2810%2C%2864%29%29%29%2F%28log%2810%2C%280.25%29%29%29

log%280.25%2C%2864%29%29+=+%28log%2810%2C%2864%29%29%29%2F%28log%2810%2C%281%2F4%29%29%29



Use the log rule log(A^B) = B*log(A)





log%280.25%2C%2864%29%29+=+%286%29%2F%28-2%29

log%280.25%2C%2864%29%29+=+-3


------------------------------------
Another approach:

log%28b%2C%28x%29%29+=+%28log%2810%2C%28x%29%29%29%2F%28log%2810%2C%28b%29%29%29 Change of base formula

log%280.25%2C%2864%29%29+=+%28log%2810%2C%2864%29%29%29%2F%28log%2810%2C%280.25%29%29%29

log%280.25%2C%2864%29%29+=+%28log%2810%2C%2864%29%29%29%2F%28log%2810%2C%281%2F4%29%29%29









log%280.25%2C%2864%29%29+=+%283%29%2F%28-1%29

log%280.25%2C%2864%29%29+=+-3

------------------------------------
Another approach:

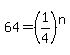
log%280.25%2C%2864%29%29+=+n

64+=+0.25%5En Convert to exponential form

64+=+%281%2F4%29%5En

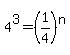
4%5E3+=+%281%2F4%29%5En

4%5E3+=+%284%5E%28-1%29%29%5En

4%5E3+=+4%5E%28-n%29

The bases are both 4, so the exponents must be equal.
3+=+-n

n+=+-3

Answer by josgarithmetic(39620) About Me  (Show Source):
You can put this solution on YOUR website!
log%281%2F4%2C64%29=n---------if hard to read, logarithm base one-fourth, of 64 is n.

In exponential form, %281%2F4%29%5En=64
-
%281%2F2%5E2%29%5En=2%5E6
%282%5E%28-2%29%29%5En=2%5E6
2%5E%28-2n%29=2%5E6
The same base so the exponents must be equal.
-2n=6
n=6%2F%28-2%29
n=-3

Answer by MathTherapy(10552) About Me  (Show Source):
You can put this solution on YOUR website!
Solve for the unknown

Logbase1/4 64=n

         matrix%281%2C3%2C+n%2C+%22=%22%2C+log+%281%2F4%2C+%2864%29%29%29
     matrix%281%2C3%2C+%281%2F4%29%5En%2C+%22=%22%2C+64%29 ----- Converting to EXPONENTIAL form 
 matrix%281%2C3%2C+%284%5E%28-+1%29%29%5En%2C+%22=%22%2C+64%29 ----- Converting %281%2F4%29%5En to 4- 1
    matrix%281%2C3%2C+4%5E%28-+n%29%2C+%22=%22%2C+4%5E3%29
       - n = 3 ------- Exponents set equal to each other, since bases are equal