SOLUTION: Solve each of he exponential equations by finding a common base. a) (4/9)^x=27/8 b) (1 3/8)^2x=64/121

Algebra ->  Exponential-and-logarithmic-functions -> SOLUTION: Solve each of he exponential equations by finding a common base. a) (4/9)^x=27/8 b) (1 3/8)^2x=64/121       Log On


   



Question 1167874: Solve each of he exponential equations by finding a common base.
a) (4/9)^x=27/8
b) (1 3/8)^2x=64/121


Found 2 solutions by greenestamps, josgarithmetic:
Answer by greenestamps(13200) About Me  (Show Source):
You can put this solution on YOUR website!


a)

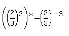
4%2F9+=+%282%2F3%29%5E2
27%2F8+=+%282%2F3%29%5E%28-3%29

%28%282%2F3%29%5E2%29%5Ex+=+%282%2F3%29%5E%28-3%29
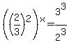
%282%2F3%29%5E%282x%29+=+%282%2F3%29%5E%28-3%29
2x+=+-3
x+=+-3%2F2

b)

1 3/8 = 11/8
64%2F121+=+%2811%2F8%29%5E-2

%2811%2F8%29%5E%282x%29+=+%2811%2F8%29%5E%28-2%29
2x+=+-2
x+=+-1


Answer by josgarithmetic(39618) About Me  (Show Source):