SOLUTION: Abby opened a retirement account with 9% APR and initial deposit of $8,000 compounded monthly. (a) Find the exponential function that models the value of Abby's retirement account

Algebra ->  Exponential-and-logarithmic-functions -> SOLUTION: Abby opened a retirement account with 9% APR and initial deposit of $8,000 compounded monthly. (a) Find the exponential function that models the value of Abby's retirement account      Log On


   



Question 1149061: Abby opened a retirement account with 9% APR and initial deposit of $8,000 compounded monthly.
(a) Find the exponential function that models the value of Abby's retirement account after t years.
(b) How long will it take to double the initial value? Estimate your answer to the nearest year.
(c) How long will it take to triple the initial value? Estimate your answer to the nearest year.
(d) How long will it take for the value of the account to reach 7 times the value of the account after 2 years?

Answer by MathTherapy(10837) About Me  (Show Source):
You can put this solution on YOUR website!
Abby opened a retirement account with 9% APR and initial deposit of $8,000 compounded monthly.
(a) Find the exponential function that models the value of Abby's retirement account after t years.
(b) How long will it take to double the initial value? Estimate your answer to the nearest year.
(c) How long will it take to triple the initial value? Estimate your answer to the nearest year.
(d) How long will it take for the value of the account to reach 7 times the value of the account after 2 years?
****************************************
(a) Find the exponential function that models the value of Abby's retirement account after t years.
Future-value-of-$1 formula: A+=+P%281+%2B+i%2Fm%29%5E%28mt%29, with A = Future Value (Unknown, in this case)
                                                                                        P = Principal/Initial Deposit ($8,000, in this case)
                                                                                        i = Interest rate, as a decimal (9%, or .09, in this case)
                                                                                        m = Number of ANNUAL compounding periods (monthly, or 12, in this case)
                                                                                        t = Time Principal/Initial Deposit has been invested, in YEARS (t, in this case)
                                                                                         A+=+P%281+%2B+i%2Fm%29%5E%28mt%29 
                                                                                        A+=+%228%2C000%22%281+%2B+.09%2F12%29%5E%2812t%29 ----- Substituting $8,000 for P, .09 for i, and 12 for m 
                                                                                        highlight%28A+=+%228%2C000%22%281.0075%29%5E%2812t%29%29 <=== Exponential function that models Abby's account-value, after t years
=========================================================
(b) How long will it take to double the initial value? Estimate your answer to the nearest year.
                                                                               A+=+P%281+%2B+i%2Fm%29%5E%28mt%29 
                                                                    %2216%2C000%22+=+%228%2C000%22%281+%2B+.09%2F12%29%5E%2812t%29 ----- Substituting $16,000 for A, $8,000 for P, .09 for i, and 12 for m 
                                                                    %2216%2C000%22%2F%228%2C000%22+=+1.0075%5E%2812t%29 
                                                                               2+=+1.0075%5E%2812t%29
  
                                                                           12t+=+log+%28%281.0075%29%2C+%282%29%29 ----- Converting to LOGARITHMIC form
    Time it'll take to double the initial value, or t+=+highlight%28%28log+%281.0075%2C+%282%29%29%2F12%29%29 = 7.730480505, or approximately 8 years.
========================================================
(c) How long will it take to triple the initial value? Estimate your answer to the nearest year. 
                                                                         A+=+P%281+%2B+i%2Fm%29%5E%28mt%29 
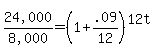
                                                              %2224%2C000%22+=+%228%2C000%22%281+%2B+.09%2F12%29%5E%2812t%29 ----- Substituting $24,000 for A, $8,000 for P, .09 for i, and 12 for m 
                                                               %2224%2C000%22%2F%228%2C000%22+=+%281+%2B+.09%2F12%29%5E%2812t%29 
                                                                         3+=+%281+%2B+.09%2F12%29%5E%2812t%29
                                                                         3+=+%281.0075%29%5E%2812t%29
                                                                     12t+=+log+%28%281.0075%29%2C+%283%29%29 ----- Converting to LOGARITHMIC form
Time it'll take to triple the initial value, or t+=+highlight%28%28log+%281.0075%2C+%283%29%29%2F12%29%29 = 12.25252171, or approximately 13 years.

** Notice that although 12.25252171 rounds off to 12 (nearest integer), the $8,000 investment, at the 12-year
     juncture, will be less than TRIPLE, or less than $24,000 (3 * $8,000). This is why it's necessary to ROUND UP
     to year 13, at which time, the $8,000 initial deposit will surpass the triple-value, $24,000.  
===============================================================
How long will it take for the value of the account to reach 7 times the value of the account after 2 years?

A+=+%228%2C000%22%281.0075%29%5E%2812t%29 <=== Exponential function that models Abby's account-value, after t years
A+=+%228%2C000%22%281.0075%29%5E%2812%2A2%29%29 ---- Substituting 2 for t 
A+=+%228%2C000%22%281.0075%29%5E24%29

Value of account after 2 years, or A = 9571.308235, or approximately $9,572.
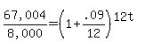
Seven (7) times the 2-year account value = 7(9,572) = $67,004. Now, when will the initial deposit ($8,000) increase to $67,004?
                                                                            A+=+P%281+%2B+i%2Fm%29%5E%28mt%29 
                                                                  %2267%2C004%22+=+%228%2C000%22%281+%2B+.09%2F12%29%5E%2812t%29 ----- Substituting $67,004 for A, $8,000 for P, .09 for i, and 12 for m 
                                                                  %2267%2C004%22%2F%228%2C000%22+=+%281+%2B+.09%2F12%29%5E%2812t%29 
                                                                  8.3755+=+%281.0075%29%5E%2812t%29

                                                                        12t+=+log+%28%281.0075%29%2C+%288.3755%29%29 ----- Converting to LOGARITHMIC form
                                                            It'll take t+=+highlight%28%28log+%281.0075%2C+%288.3755%29%29%2F12%29%29 = 23.70300853, or approximately 24 years for the $8,000 
                                                            initial-deposit to increase to $67,004 (7 times its 2-year value, or 7 times appr. $9,572).