SOLUTION: How do you write this expression as a single logaritm 3 log 2+5 x-2 log y

Algebra ->  Exponential-and-logarithmic-functions -> SOLUTION: How do you write this expression as a single logaritm 3 log 2+5 x-2 log y      Log On


   



Question 1141525: How do you write this expression as a single logaritm
3 log 2+5 x-2 log y

Found 2 solutions by Alan3354, josgarithmetic:
Answer by Alan3354(69443) About Me  (Show Source):
You can put this solution on YOUR website!
3 log 2+5 x-2 log y
--------
Not clear.
=====================
It's not our job to try to figure out what you might mean.
It's your job to make it clear.

Answer by josgarithmetic(39620) About Me  (Show Source):
You can put this solution on YOUR website!
How do you write this expression as a single logaritm
3 log 2+5 x-2 log y


This can only be a guess, since your expression is too imprecise for a clear meaning.

Putting in the likely missing parentheses,
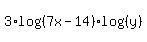
3%2Alog%28%28%282%2B5%29%28x-2%29%29%29%2Alog%28%28y%29%29
Simplifying:
3%2Alog%28%287x-14%29%29%2Alog%28%28y%29%29

log%28%28%287x-14%29%5E3%29%29log%28%28y%29%29
Maybe you see any further steps, or maybe not.