SOLUTION: The volume V of a given mass of gas varies directly as the temp T and inversely as the pressure P. If V=161.0in cubed when T=230 degrees and P= 20 lbs/in squared, what is the volum

Algebra ->  Exponential-and-logarithmic-functions -> SOLUTION: The volume V of a given mass of gas varies directly as the temp T and inversely as the pressure P. If V=161.0in cubed when T=230 degrees and P= 20 lbs/in squared, what is the volum      Log On


   



Question 112643This question is from textbook Intermediate Algebra
: The volume V of a given mass of gas varies directly as the temp T and inversely as the pressure P. If V=161.0in cubed when T=230 degrees and P= 20 lbs/in squared, what is the volume when T=390 degrees and P=20 lbs/in squared? This question is from textbook Intermediate Algebra

Answer by scott8148(6628) About Me  (Show Source):
You can put this solution on YOUR website!
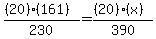
let x="new volume"

%28%2820%29%28161%29%29%2F230=%28%2820%29%28x%29%29%2F390