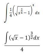
SOLUTION: Integral 1/4 Sqrt((x^2/4)-1)^3
Algebra
->
Exponential-and-logarithmic-functions
-> SOLUTION: Integral 1/4 Sqrt((x^2/4)-1)^3
Log On
Algebra: Exponent and logarithm as functions of power
Section
Solvers
Solvers
Lessons
Lessons
Answers archive
Answers
Click here to see ALL problems on Exponential-and-logarithmic-functions
Question 1117237
:
Integral 1/4 Sqrt((x^2/4)-1)^3
Answer by
addingup(3677)
(
Show Source
):
You can
put this solution on YOUR website!
Integrate on x: