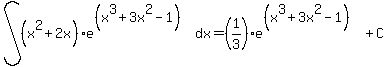
SOLUTION: find the indefinite intergral (x^2+2x)e^x^3+3x^2-1 dx
Algebra
->
Exponential-and-logarithmic-functions
-> SOLUTION: find the indefinite intergral (x^2+2x)e^x^3+3x^2-1 dx
Log On
Algebra: Exponent and logarithm as functions of power
Section
Solvers
Solvers
Lessons
Lessons
Answers archive
Answers
Click here to see ALL problems on Exponential-and-logarithmic-functions
Question 1115953
:
find the indefinite intergral
(x^2+2x)e^x^3+3x^2-1 dx
Answer by
Fombitz(32388)
(
Show Source
):
You can
put this solution on YOUR website!
So,