SOLUTION: Find the indefinite integral 5.(4+ 1/X^2)(-2/x^3)dx

Algebra ->  Exponential-and-logarithmic-functions -> SOLUTION: Find the indefinite integral 5.(4+ 1/X^2)(-2/x^3)dx      Log On


   



Question 1115951: Find the indefinite integral
5.(4+ 1/X^2)(-2/x^3)dx

Answer by Fombitz(32388) About Me  (Show Source):
You can put this solution on YOUR website!
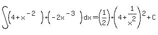
Let u=4%2Bx%5E%28-2%29, then,
du=-2x%5E%28-3%29dx
So,
int%28%284%2Bx%5E%28-2%29%29%28-2x%5E%28-3%29%29%2Cdx%29=int%28u%2Cdu%29
int%28%284%2Bx%5E%28-2%29%29%28-2x%5E%28-3%29%29%2Cdx%29=u%5E2%2F2%2BC