SOLUTION: If the two roots of the quadratic equation x^2-6x+1=0 are log a and log b, what is the value of log(a,ab^2)+log(b,a^2b)? Thank You.

Algebra ->  Exponential-and-logarithmic-functions -> SOLUTION: If the two roots of the quadratic equation x^2-6x+1=0 are log a and log b, what is the value of log(a,ab^2)+log(b,a^2b)? Thank You.      Log On


   



Question 1105288: If the two roots of the quadratic equation x^2-6x+1=0 are log a and log b,
what is the value of log(a,ab^2)+log(b,a^2b)?
Thank You.

Answer by KMST(5328) About Me  (Show Source):
You can put this solution on YOUR website!
x%5E2-6x%2B1=0 can be solved by "completing the square"
or by using the quadratic formula.
Completing the square:
x%5E2-6x%2B1=0
x%5E2-6x=-1
x%5E2-6x%2B9=-1%2B9
%28x-3%29%5E2=8
x-3=%22+%22+%2B-+sqrt%288%29
x=3+%2B-+sqrt%288%29
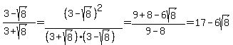
The expression log%28a%2C%28ab%5E2%29%29%2Blog%28b%2C%28ba%5E2%29%29 becomes itself if we interchange a and b,
so it does not matter which root is log%28%28a%29%29 and which root is log%28%28b%29%29 .
Let us say that log%28%28a%29%29=3%2Bsqrt%288%29 and log%28%28b%29%29=3-sqrt%288%29 .
Those are base 10 logarithms, so to get to base a and base b,
we use the "change of base formula."
log%28b%2Ca%29%22=%22log%28%28a%29%29%2Flog%28%28b%29%29%22=%22
log%28a%2Cb%29%22=%22log%28%28b%29%29%2Flog%28%28a%29%29%22=%22 .

Now we can calculate that expression
log%28a%2C%28ab%5E2%29%29%2Blog%28b%2C%28ba%5E2%29%29%22=%22log%28a%2Ca%29%2B2%2Alog%28a%2Cb%29%2Blog%28b%2Cb%29%2B2%2Alog%28b%2Ca%29%22=%221%2B2%2Alog%28a%2Cb%29%2B1%2B2%2Alog%28b%2Ca%29%22=%222%2B2%28log%28a%2Cb%29%2Blog%28b%2Ca%29%29%22=%222%281%2Blog%28a%2Cb%29%2Blog%28b%2Ca%29%29%22=%222%281%2B17%2B6sqrt%288%29%2B17-6sqrt%288%29%29%22=%222%281%2B17%2B17%29%22=%222%2A35%22=%22highlight%2870%29